Multiple Choice Identify the
choice that best completes the statement or answers the question.
|
|
|
1.
|
Determine whether the expression  is a rational expression.
If not, explain why.
a. | not rational because the denominator is not a polynomial | b. | not rational because
the numerator is not a polynomial | c. | rational | d. | not rational because
both the numerator and denominator are a polynomial | e. | not rational because both the numerator and
denominator are not a polynomial |
|
|
|
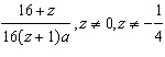
2.
|
Find the domain of the rational expression below. 
|
|
|
3.
|
Find the missing factor for the expression below. 
|
|
|
4.
|
Simplify the rational expression below. 
|
|
|
5.
|
Simplify the rational expression below. 
|
|
|
6.
|
Simplify the rational expression below. 
|
|
|
7.
|
Simplify the expression below. 
|
|
|
8.
|
Simplify the expression below. 
|
|
|
9.
|
Find the reciprocal of the expression below. 
|
|
|
10.
|
Divide and simplify the expression below. 
|
|
|
11.
|
Divide and simplify the expression below. 
|
|
|
12.
|
Perform the indicated operations and simplify. 
|
|
|
13.
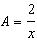
|
The base and height of a triangle are given by  and  respectively. Assuming x is positive, find the correct expression for the area
A of the triangle in terms of x.
|
|
|
14.
|
Simplify the expression below. 
|
|
|
15.
|
A rectangle has a length of  feet and a width of  feet. Write a simplified expression that represents the perimeter of the
rectangle.
|
|
|
16.
|
Simplify the expression below. 
|
|
|
17.
|
Simplify the expression below. 
|
|
|
18.
|
Simplify the expression below. 
|
|
|
19.
|
Solve the rational equation. 
|
|
|
20.
|
A small plane has a speed of  miles per hour in
still air. The plane travels a distance of  miles with a tail wind in
the same time it takes to travel  miles into a head wind. In both cases,
the wind has the same speed. Find the speed of the wind. Use a diagram and a verbal model to help
solve the problem.
|