Multiple Choice Identify the
choice that best completes the statement or answers the question.
|
|
|
1.
|
Find the domain of the rational expression below. 
a. | all real values of z such that  | b. | all real values of
z such that  | c. | all real values of z such that  | d. | all real values of z such that  | e. | all real
numbers |
|
|
|
2.
|
Find the missing factor for the expression below. 
|
|
|
3.
|
The formula below can be used to calculate the value V of an automobile
t years after it was purchased for the original price P.

Use the formula to calculate the value V of an automobile sixteen years
after it is purchased for an original price of  . Round your answer to the
nearest hundred dollars.
|
|
|
4.
|
Simplify the expression below. 
|
|
|
5.
|
Simplify the expression below. 
|
|
|
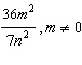
6.
|
Simplify the expression below. 
|
|
|
7.
|
Find the least common denominator of the expressions  and  and rewrite one or both of the fractions using the least common denominator.
|
|
|
8.
|
Simplify the expression below. 
|
|
|
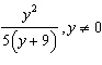
9.
|
Simplify the expression below. 
|
|
|
10.
|
A boater travels  miles upstream (against the current) and  miles downstream (with the current). The speed of the current is 
miles per hour. An expression for the time (in hours) it takes the boater to travel upstream is
 . An expression for the time (in hours) it
takes the boater to travel downstream is  . Write and simplify an expression for the
total travel time (in hours) of the boater. (In the following figure, assume  miles and  miles per hour.) 
|
|
|
11.
|
A rectangle has a length of  feet and a width of  feet. Write a simplified expression that represents the perimeter of the
rectangle.
|
|
|
12.
|
Simplify the expression below. 
|
|
|
13.
|
Simplify the expression below. 
|
|
|
14.
|
Simplify the expression below. 
|
|
|
15.
|
Simplify the expression below. 
|
|
|
16.
|
Simplify the expression below. 
|
|
|
17.
|
Simplify the expression below. 
|
|
|
18.
|
Simplify the expression below. 
|
|
|
19.
|
Solve the rational equation. 
|
|
|
20.
|
Graph the equation and identify any x-intercepts of the
graph. 
|