Multiple Choice Identify the
choice that best completes the statement or answers the question.
|
|
|
1.
|
Select the graphs of the equations  and approximate any
solutions of the system of linear equations.
|
|
|
2.
|
Find the system of linear equations below that has the solution   ,  ,  ,  , 
|
|
|
3.
|
A small company produces bird feeders that sell for  per unit. The
cost of producing each unit is  , and the company has fixed costs of  . Let the cost function  be the total cost to produce x bird
feeders and let the revenue function  be the total revenue from selling x
bird feeders. Graph the cost and revenue function and find the point of intersection of the
graphs.
|
|
|
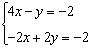
4.
|
If possible, solve the system below by the method of elimination. Use the graph
to check the solution.  
|
|
|
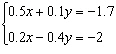
5.
|
If possible, solve the system below by the method of elimination. 
|
|
|
6.
|
You invest a total of  in two investments earning
 and  simple interest. (There is
more risk in the  fund.) Your goal is to have a total annual
interest income of  . The system of equations that represents this
situation is  where x represents the amount
invested in the  fund and y represents the amount
invested in the  fund. Solve this system to determine the
smallest amount that you can invest at  in order to meet your objective.
|
|
|
7.
|
Solve the system of linear equations below. 
|
|
|
8.
|
Solve the system of linear equations below. 
|
|
|
9.
|
Solve the system of linear equations below. 
|
|
|
10.
|
Find the position equation  for an object that has
distance  at  second, 
at  seconds, and  at  seconds.
|
|
|
11.
|
The sum of the measures of two angles of a triangle is 
the measure of the third angle. The measure of the second angle is  than the measure of the third angle. Find the measures of the three angles.
a. | The first angle is , the second angle is ,
and the third angle is . | b. | The first angle is
, the second angle is ,
and the third angle is . | c. | The first angle is
, the second angle is , and the third angle is . | d. | The first angle is
, the second angle is , and the third angle is . | e. | The first angle is
, the second angle is , and the third angle is . |
|
|
|
12.
|
Write the system of linear equations represented by the augmented matrix below.
Use variables x, y, z, v, and w. 
|
|
|
13.
|
Describe the elementary row operation used to transform the first
matrix  into the second matrix  .
a. | Add times the third row to the second
row. | b. | Add times the second row to the third
row. | c. | Add times the third row to the second
row. | d. | Add times the second row to the third
row. | e. | Add times the second row to the third
row. |
|
|
|
14.
|
Solve for  in the matrix below by using elementary row
operations to form a row-equivalent matrix. 
|
|
|
15.
|
Find the determinant of the matrix below. 
|
|
|
16.
|
Determine whether the points  ,  , and  are collinear.
a. | The points are not collinear. | b. | The points are
collinear. |
|
|
|
17.
|
Use a determinant to find the equation of the line through the points  and  .
|
|
|
18.
|
Determine if the ordered pair  is a solution of the system
of linear inequalities  .
a. | not a solution | b. | solution |
|
|
|
19.
|
Graph the system of linear inequalities below. 
|
|
|
20.
|
Graph the system of linear inequalities below. 
|